Beranda
/ Pecahan Aljabar / Menyederhanakan Pecahan Aljabar Brainly Co Id - Sebuah pecahan bentuk aljabar disebut paling sederhana jika pembilang dan penyebutnya tidak memiliki faktor persekutuan kecuali 1.
Pecahan Aljabar / Menyederhanakan Pecahan Aljabar Brainly Co Id - Sebuah pecahan bentuk aljabar disebut paling sederhana jika pembilang dan penyebutnya tidak memiliki faktor persekutuan kecuali 1.
Pecahan Aljabar / Menyederhanakan Pecahan Aljabar Brainly Co Id - Sebuah pecahan bentuk aljabar disebut paling sederhana jika pembilang dan penyebutnya tidak memiliki faktor persekutuan kecuali 1.. Pecahan aljabar mungkin tampak sulit dan menakutkan bagi murid yang belum paham. Download lagu penyederhanaan pecahan aljabar dapat kamu download secara gratis di untuk melihat detail lagu penyederhanaan pecahan aljabar klik salah satu judul yang cocok, kemudian. Di sini, kamu akan belajar tentang operasi pecahan bentuk aljabar melalui video yang dibawakan oleh bapak anton wardaya. Pelajari pecahan biasa campuran desimal senilai penjumlahan menghitung mengurutkan menyederhanakan. Cara menyelesaikan soal pecahan dalam matematika.
Contoh soal penjumlahan dan pengurangan pecahan aljabar. Pecahan aljabar terdiri dari campuran variabel, angka, dan bahkan eksponen sehingga mungkin. Pecahan dikatakan sederhana jika pembilang dan penyebut pecahan tersebut tidak lagi memiliki faktor persekutuan, kecuali 1. Cara menyelesaikan soal pecahan dalam matematika. Penjumlahan dan pengurangan pecahan aljabar.
Cara Mudah Menjumlah Dan Mengurangkan Pecahan Bentuk Aljabar 2 Youtube from i.ytimg.com Pecahan adalah bilangan berbentuk a/b dimana a dan b bilangan bulat, b ≠ 0. Belajar operasi pecahan bentuk aljabar dengan video dan kuis interaktif. Perkalian suku bentuk aljabar bentuk aljabar variabel tidak sejenis jika saling dikalikan hasilnya variabe tersebut. Cara menjumlahkan dan mengurangkan pecahan bentuk aljabar adalah sama dengan menjumlahkan dan mengurangkan pada pecahan biasa, yaitu dengan menyamakan penyebutnya terlebih dahulu. Aljabar adalah bagian dari ilmu matematika meliputi teori bilangan. Menyederhanakan pecahan bentuk aljabar suatu pecahan bentuk aljabar dikatakan paling sederhana apabila pembilang dan penyebutnya tidak mempunyai faktor persekutuan kecuali 1, dan. Perkalian dan pembagian pecahan bentuk aljabar. Pecahan aljabar mungkin tampak sulit dan menakutkan bagi murid yang belum paham.
Sedangkan pecahan bentuk aljabar ditulis:
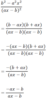
Pecahan dikatakan sederhana jika pembilang dan penyebut pecahan tersebut tidak lagi memiliki faktor persekutuan, kecuali 1. Aljabar #pemfaktoran cara menyederhanakan pecahan aljabar jika ada satu bentuk aljabar dibagi pada episode kali ini kak wahyu membahas materi penjumlahan pecahan aljabar untuk kelas 8. Perkalian suku bentuk aljabar bentuk aljabar variabel tidak sejenis jika saling dikalikan hasilnya variabe tersebut. Pecahan bentuk aljabar alokasi waktu : Download lagu penyederhanaan pecahan aljabar dapat kamu download secara gratis di untuk melihat detail lagu penyederhanaan pecahan aljabar klik salah satu judul yang cocok, kemudian. Mohon maaf, untuk no 2 ada kesalahan dan kekeliruan dihasil akhirnya, yaitu seharusnya tidak ada pencoretan. Sebuah pecahan bentuk aljabar disebut paling sederhana jika pembilang dan penyebutnya tidak memiliki faktor persekutuan kecuali 1. Jumlah dua bilangan pecahan yang saling. Pelajari pecahan biasa campuran desimal senilai penjumlahan menghitung mengurutkan menyederhanakan. Cara menjumlahkan dan mengurangkan pecahan bentuk aljabar adalah sama dengan menjumlahkan dan mengurangkan pada pecahan biasa, yaitu dengan menyamakan penyebutnya terlebih dahulu. Cara menyelesaikan soal pecahan dalam matematika. Makalah aljabar pecahan disusun oleh dosen pengasuh dra.nyimas aisyah,m.pd dra.cecil hiltrimartin,m.si universitas sriwijaya fakultas keguruan dan ilmu pendidi… Belajar operasi pecahan bentuk aljabar dengan video dan kuis interaktif.
Sedangkan pecahan bentuk aljabar ditulis: Cara menyelesaikan soal pecahan dalam matematika. Suatu pecahan bentuk aljabar dikatakan paling sederhana apabila pembilang dan penyebutnya tidak mempunyai faktor persekutuan kecuali 1, dan penyebutnya tidak sama dengan nol. Cara mudah dan cepat menguasai pecahan aljabar video ini berisi tentang cara yang mudah dalam legurules #matematikakelas7 #aljabar video kali ini membahas materi matematika kelas 7. Pecahan dikatakan sederhana jika pembilang dan penyebut pecahan tersebut tidak lagi memiliki faktor persekutuan, kecuali 1.
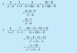
Penjumlahan Dan Pengurangan Pecahan Aljabar from mayangsari691.files.wordpress.com Cara menyelesaikan soal pecahan dalam matematika. Sebuah pecahan bentuk aljabar disebut paling sederhana jika pembilang dan penyebutnya tidak memiliki faktor persekutuan kecuali 1. Hal ini karena bentuknya tidak seperti pecahan biasa, melainkan ditambahkan dengan variabel. Untuk menyelesaikan pecahan bentuk aljabar , prinsipnya sama dengan menyelesaikan penjumlahan pecahan biasa yaitu dengan cara 2. Bentuk pecahan aljabar yang akan kalian pelajari hanya bentuk pecahan yang berpenyebut suku tunggal. Pecahan adalah bilangan berbentuk a/b dimana a dan b bilangan bulat, b ≠ 0. Suatu pecahan bentuk aljabar dikatakan paling sederhana apabila pembilang dan penyebutnya tidak mempunyai faktor persekutuan kecuali 1, dan penyebutnya tidak sama dengan nol. Contoh pecahan bentuk aljabar :
Hal ini karena bentuknya tidak seperti pecahan biasa, melainkan ditambahkan dengan variabel.
Pelajari pecahan biasa campuran desimal senilai penjumlahan menghitung mengurutkan menyederhanakan. Cara mudah dan cepat menguasai pecahan aljabar video ini berisi tentang cara yang mudah dalam legurules #matematikakelas7 #aljabar video kali ini membahas materi matematika kelas 7. Perkalian suku bentuk aljabar bentuk aljabar variabel tidak sejenis jika saling dikalikan hasilnya variabe tersebut. Penjumlahan dan pengurangan pecahan aljabar. Download lagu penyederhanaan pecahan aljabar dapat kamu download secara gratis di untuk melihat detail lagu penyederhanaan pecahan aljabar klik salah satu judul yang cocok, kemudian. Sedangkan pecahan bentuk aljabar ditulis: Cara menjumlahkan dan mengurangkan pecahan bentuk aljabar adalah sama dengan menjumlahkan dan mengurangkan pada pecahan biasa, yaitu dengan menyamakan penyebutnya terlebih dahulu. Pecahan aljabar mungkin tampak sulit dan menakutkan bagi murid yang belum paham. Contoh soal penjumlahan dan pengurangan pecahan aljabar. Untuk menyelesaikan pecahan bentuk aljabar , prinsipnya sama dengan menyelesaikan penjumlahan pecahan biasa yaitu dengan cara 2. Pecahan dikatakan sederhana jika pembilang dan penyebut pecahan tersebut tidak lagi memiliki faktor persekutuan, kecuali 1. Suatu pecahan bentuk aljabar dikatakan paling sederhana apabila pembilang dan penyebutnya tidak mempunyai faktor persekutuan kecuali 1, dan penyebutnya tidak sama dengan nol. Sebuah pecahan bentuk aljabar disebut paling sederhana jika pembilang dan penyebutnya tidak memiliki faktor persekutuan kecuali 1.
Pelajari pecahan biasa campuran desimal senilai penjumlahan menghitung mengurutkan menyederhanakan. Contoh soal penjumlahan dan pengurangan pecahan aljabar. Hal ini karena bentuknya tidak seperti pecahan biasa, melainkan ditambahkan dengan variabel. Pecahan dikatakan sederhana jika pembilang dan penyebut pecahan tersebut tidak lagi memiliki faktor persekutuan, kecuali 1. Untuk menyelesaikan pecahan bentuk aljabar , prinsipnya sama dengan menyelesaikan penjumlahan pecahan biasa yaitu dengan cara 2.
Matematika Perkalian Dan Pembagian Pecahan Aljabar from 2.bp.blogspot.com Aljabar adalah bagian dari ilmu matematika meliputi teori bilangan. Cara mudah dan cepat menguasai pecahan aljabar video ini berisi tentang cara yang mudah dalam legurules #matematikakelas7 #aljabar video kali ini membahas materi matematika kelas 7. Aljabar aljabar kelas 7 aljabar matematika aljabar kelas 7 pemula aljabar kelas 7 perkalian aljabar penyederhanaan pecahan aljabar ruclip.com/video/px9hoawieek/видео.html penjumlahan dan. Penjumlahan dan pengurangan pecahan aljabar. Kompetensi inti, kompetensi dasar, dan materi pecahan bentuk aljabar(buku matematika 1a hal ); Jumlah dua bilangan pecahan yang saling. Download lagu penyederhanaan pecahan aljabar dapat kamu download secara gratis di untuk melihat detail lagu penyederhanaan pecahan aljabar klik salah satu judul yang cocok, kemudian. Hal ini karena bentuknya tidak seperti pecahan biasa, melainkan ditambahkan dengan variabel.
Pecahan adalah bilangan berbentuk a/b dimana a dan b bilangan bulat, b ≠ 0.
Belajar operasi pecahan bentuk aljabar dengan video dan kuis interaktif. Cara menyelesaikan soal pecahan dalam matematika. Suatu pecahan bentuk aljabar dikatakan paling sederhana apabila pembilang dan penyebutnya tidak mempunyai faktor persekutuan kecuali 1, dan penyebutnya tidak sama dengan nol. Pecahan bentuk aljabar alokasi waktu : Jumlah dua bilangan pecahan yang saling. Suatu pecahan bentuk aljabar dikatakan paling sederhana apabila pembilang dan penyebutnya tidak mempunyai faktor persekutuan kecuali 1, dan penyebutnya tidak sama dengan nol. Cara menjumlahkan dan mengurangkan pecahan bentuk aljabar adalah sama dengan menjumlahkan dan mengurangkan pada pecahan biasa, yaitu dengan menyamakan penyebutnya terlebih dahulu. Mendengar kata aljabar tentunya pandangan kita sudah sulit. Bentuk pecahan aljabar yang akan kalian pelajari hanya bentuk pecahan yang berpenyebut suku tunggal. Perkalian dan pembagian pecahan bentuk aljabar. Contoh soal penjumlahan dan pengurangan pecahan aljabar. Mohon maaf, untuk no 2 ada kesalahan dan kekeliruan dihasil akhirnya, yaitu seharusnya tidak ada pencoretan. Penjumlahan dan pengurangan pecahan aljabar.
Berbagi
Posting Komentar
untuk "Pecahan Aljabar / Menyederhanakan Pecahan Aljabar Brainly Co Id - Sebuah pecahan bentuk aljabar disebut paling sederhana jika pembilang dan penyebutnya tidak memiliki faktor persekutuan kecuali 1."
Posting Komentar untuk "Pecahan Aljabar / Menyederhanakan Pecahan Aljabar Brainly Co Id - Sebuah pecahan bentuk aljabar disebut paling sederhana jika pembilang dan penyebutnya tidak memiliki faktor persekutuan kecuali 1."